• Предмет: Математика
  • Автор: irinanassan
  • Вопрос задан 2 года назад

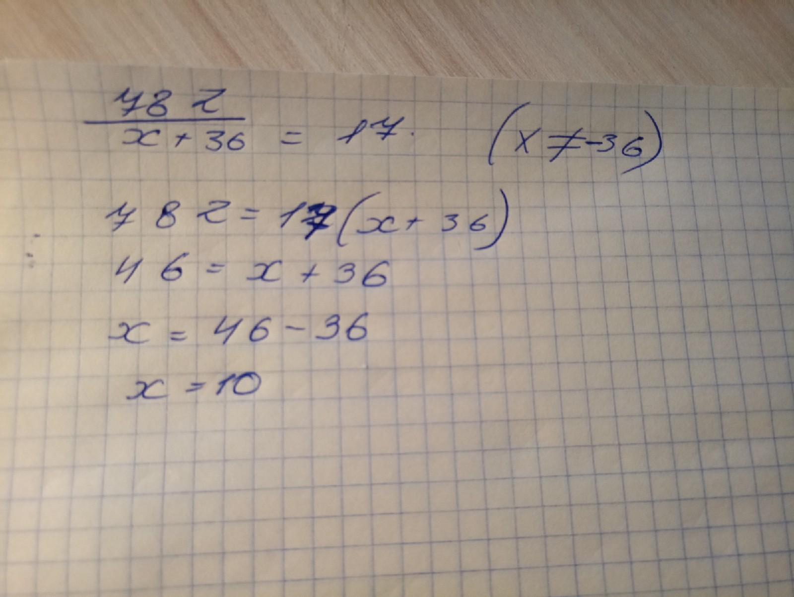
782÷(x+36)=17 помогите позалуйста

Ответы

Ответ дал: ewiztee1
1

Пошаговое объяснение:

Вот

Приложения:
Ответ дал: Аноним
3

Ответ:

782÷(x+36)=17

x+36=782:17

x+36=46

x=46-36

x=10

Надеюсь помогла

Вас заинтересует