Всем привет. Помогите пожалуйста доказать тождество. Желательно сфоткать. Заранее спасибо.
Приложения:

Ответы
Ответ дал:
1
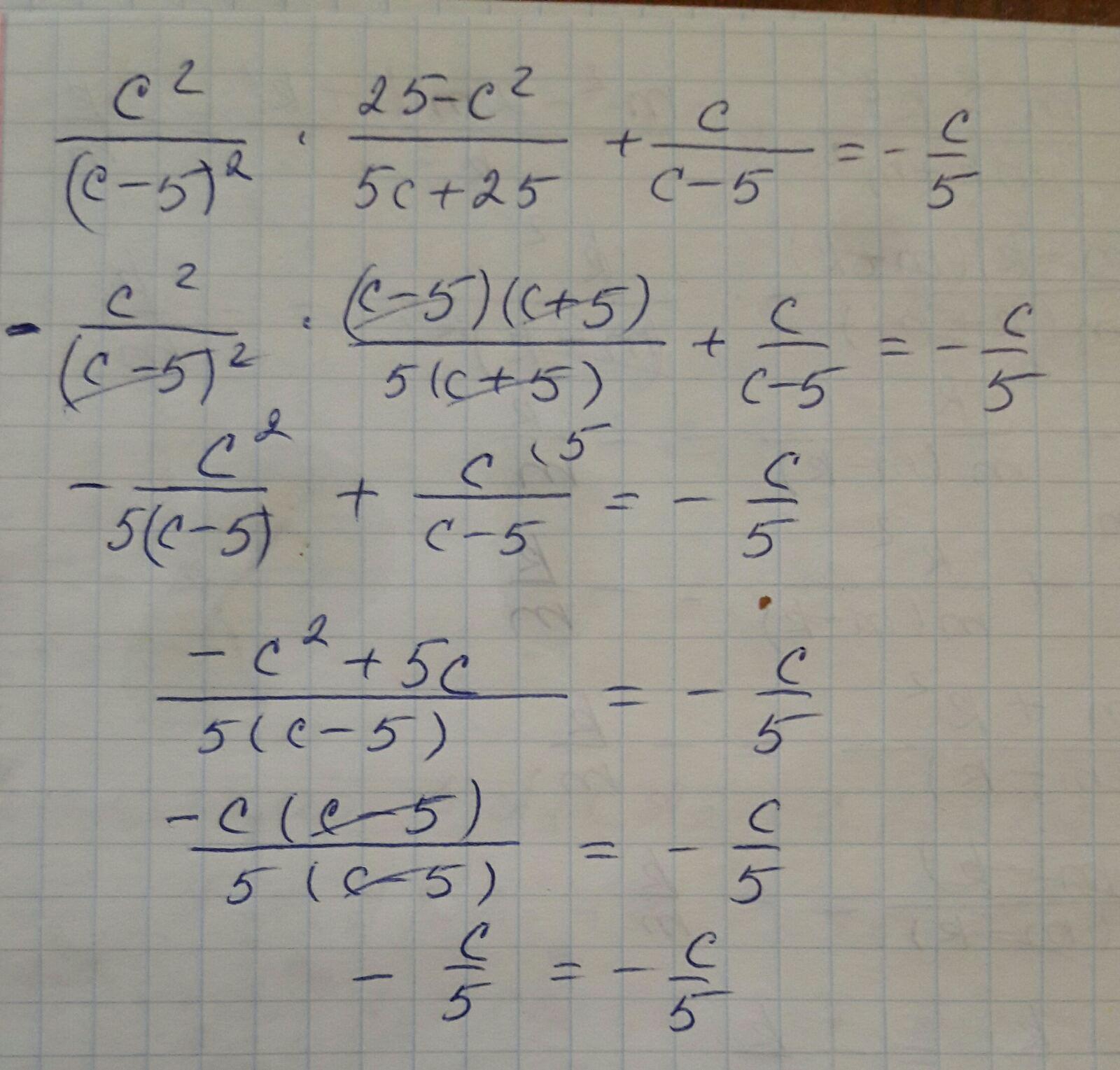
Відповідь:
Пояснення:
Приложения:

Вас заинтересует
1 год назад
1 год назад
3 года назад
3 года назад
8 лет назад
8 лет назад