• Предмет: Алгебра
  • Автор: Makeplay
  • Вопрос задан 2 года назад

Помогите решить показательное уравнение​

Приложения:

Ответы

Ответ дал: AstonishedDragon
1

Ответ:

1

Объяснение:

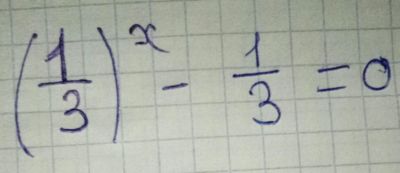
(\frac{1}{3}) ^{x} -\frac{1}{3} =0

(\frac{1}{3}) ^{x}=(\frac{1}{3})^{1}

x=1

Вас заинтересует