• Предмет: Математика
  • Автор: dtsar315
  • Вопрос задан 2 года назад

Помогите срочно даю 30 баллов
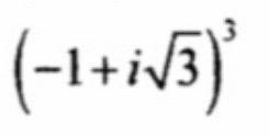
Надо возвести в степень

Приложения:

Ответы

Ответ дал: аделя09032002
0

Ответ:

8(cos(0)+i×sin(0))

Пошаговое объяснение:

  1. (2(cos(2П/3)+i×sin(2П/3))^3
  2. 2^3×(cos(3×2П/3)+i×sin(3×2П/3))
  3. 8×(cos(2П)+i×sin(2П))
  4. 8×(cos(0)+i×sin(0))

Вас заинтересует