• Предмет: Алгебра
  • Автор: himadow
  • Вопрос задан 2 года назад

ПОМОГИТЕ ПОЖАЛУЙСТА 15 баллов!
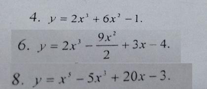
Найдите промежутки монотонной функции

Приложения:

Ответы

Ответ дал: ivan48367
0

Ответ:

..........................................

Приложения:

lepofej817: Почему в 4 отсутствует степень над 6x и в 6 примере 3x нету
Вас заинтересует