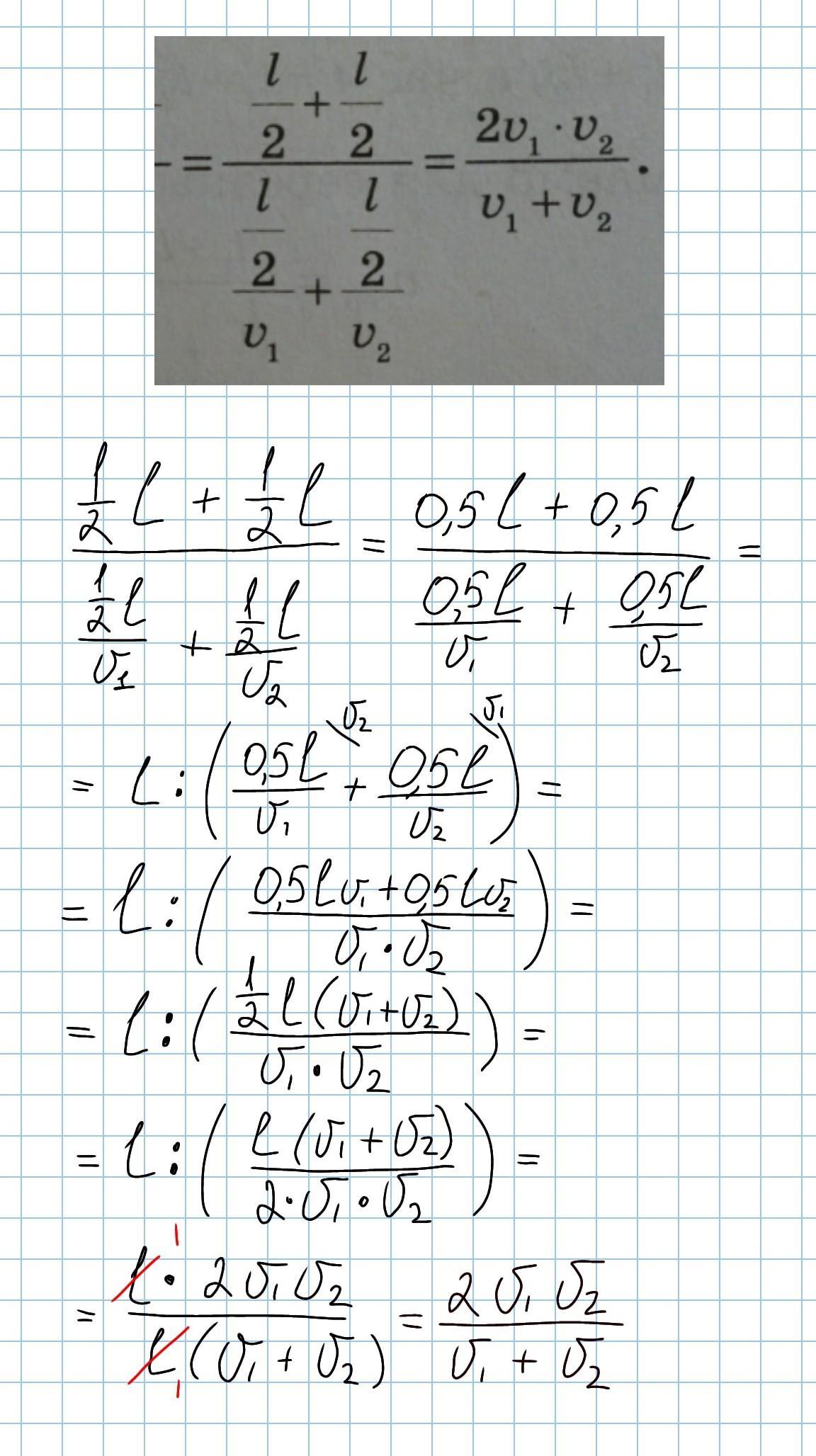
Как получилась такая формула. Обясните что здесь сокращается и т.д. так что в итоге получилась такая формула
Приложения:

Ответы
Ответ дал:
2
Я конкретно расписала всю формулу, приведя ее в вид примера, а не дроби. Сразу становится видно: куда, что и как
то есть мы:
1) Складываем ½l с ½l, ибо у них общий знаменатель
2) Представляем дробь в виде примера
3) Приводим бывший знаменатель к общему знаменателю
4) При делении числа на дробь -- деление заменяется умножением на обратную дробь
5) Сокращаем l и все
Приложения:

tteesslaa:
Спасибо большое
Вас заинтересует
1 год назад
1 год назад
1 год назад
1 год назад
3 года назад
3 года назад
8 лет назад