• Предмет: Алгебра
  • Автор: evaro05
  • Вопрос задан 2 года назад

Срочно нужно решить, даю 10 баллов

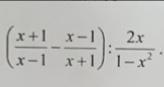
Приложения:

Ответы

Ответ дал: Аноним
0

Ответ:помогите мне

Объяснение:

Вас заинтересует