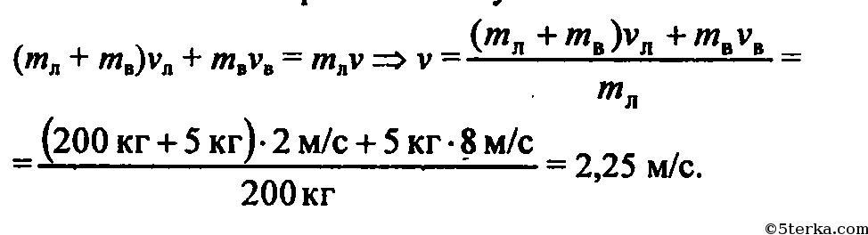
С лодки, движущейся со скоростью 2м/с, человек бросает весло массой 5кг с горизонтальной скоростью 8м/с простивоположно движению лодки. С какой скоростью стала двигаться лодка после броска, если её масса вместе с массой человека равна 200кг?
Ответы
Ответ дал:
3
Ответ: V=2.25 м/с
Объяснение:
Приложения:



Вас заинтересует
1 год назад
1 год назад
8 лет назад