Решить уравнения 570 умнож X-4700=13540. (31 умнож 550-X) умнож 120=10200
evgeniya1309:
можете еще раз написать второе уравнение,видимо не правильно написали
Ответы
Ответ дал:
19
Пошаговое объяснение:
если правильно поняла
Приложения:


Ответ дал:
10
Ответ:
570•х-4700=13540
570•х=13540+4700
570•х=18240
х=18240:570
х=32
570•32-4700=13540
13540=13540
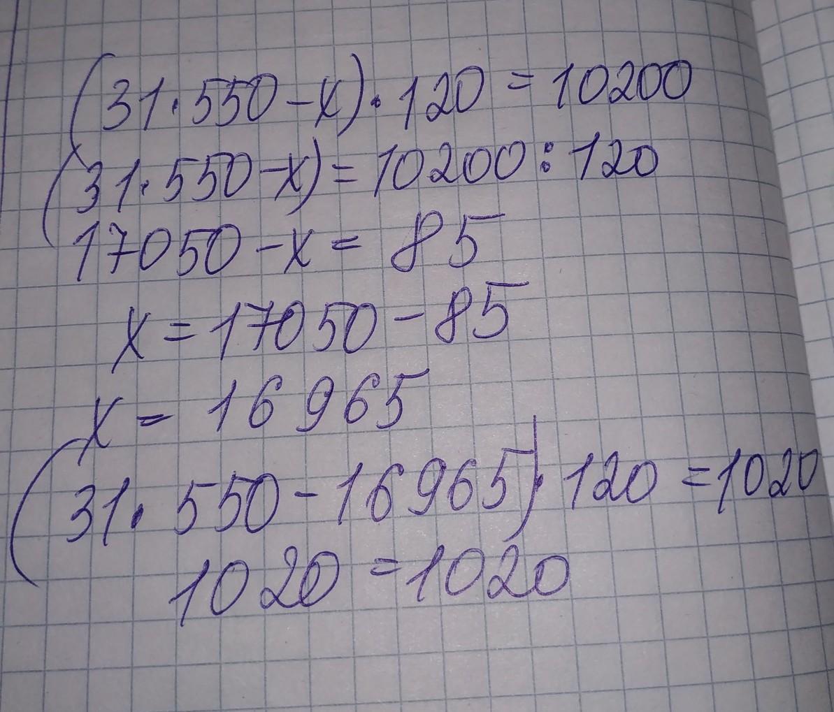
(31•550-х)•120=10200
(17050-х)•120=10200
17050-х=10200:120
17050-х=85
х=17050-85
х=16965
(31•550-16965)•120=10200
10200=10200
Вас заинтересует
1 год назад
1 год назад
1 год назад
1 год назад
3 года назад
3 года назад
8 лет назад