Ответы
Ответ дал:
0
Ответ:
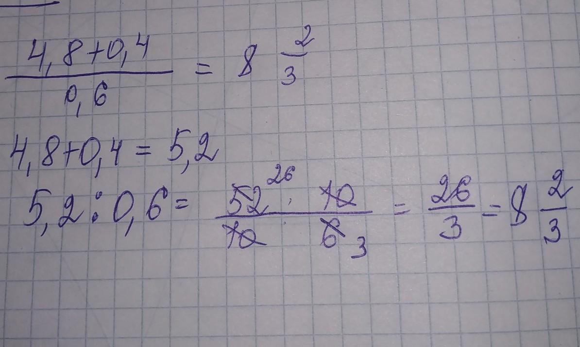
52 × 10. 26 2
5,2: 0,6= --------- = -----=8---
10. × 6. 3. 3
Приложения:

Аноним:
Что значит 0.6
Ответ дал:
3
Объяснение:
надеюсь понятно написала
Приложения:

Вас заинтересует
1 год назад
1 год назад
1 год назад
3 года назад
3 года назад
8 лет назад