• Предмет: Алгебра
  • Автор: lmaooooooo
  • Вопрос задан 2 года назад

Два примера
Помогите пожалуйста!!!

Приложения:

Ответы

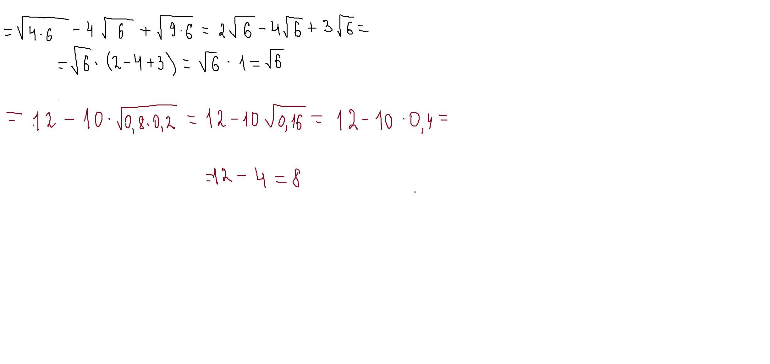
Ответ дал: parus77
1

Ответ:

Объяснение:

решение внизу

Приложения:
Вас заинтересует