Ответы
Ответ дал:
23
Ответ:
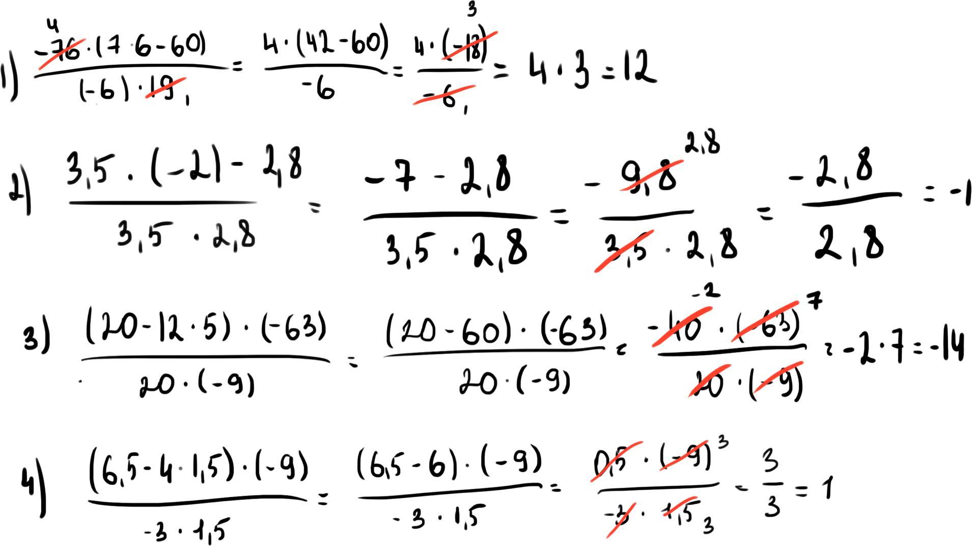
1) 12; 2) -1; 3) -14; 4) 1
Пошаговое объяснение:
Приложения:

Вас заинтересует
1 год назад
1 год назад
1 год назад
3 года назад
3 года назад
8 лет назад