• Предмет: Алгебра
  • Автор: Sierof
  • Вопрос задан 2 года назад

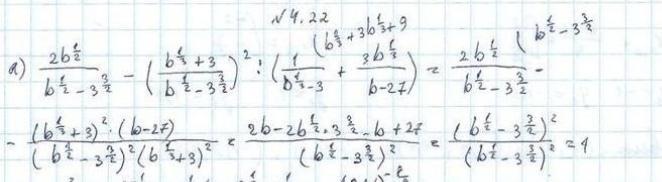
как это получилось? объясните пожалуйста..

Приложения:

Ответы

Ответ дал: 282alena282
0

Объяснение:

сначало дроби складываются и приводятся к общему знаменателю потом привели к общему знаменателю с вычитанием что можно было сократили

Вас заинтересует