• Предмет: Геометрия
  • Автор: kaktotamhelp
  • Вопрос задан 2 года назад

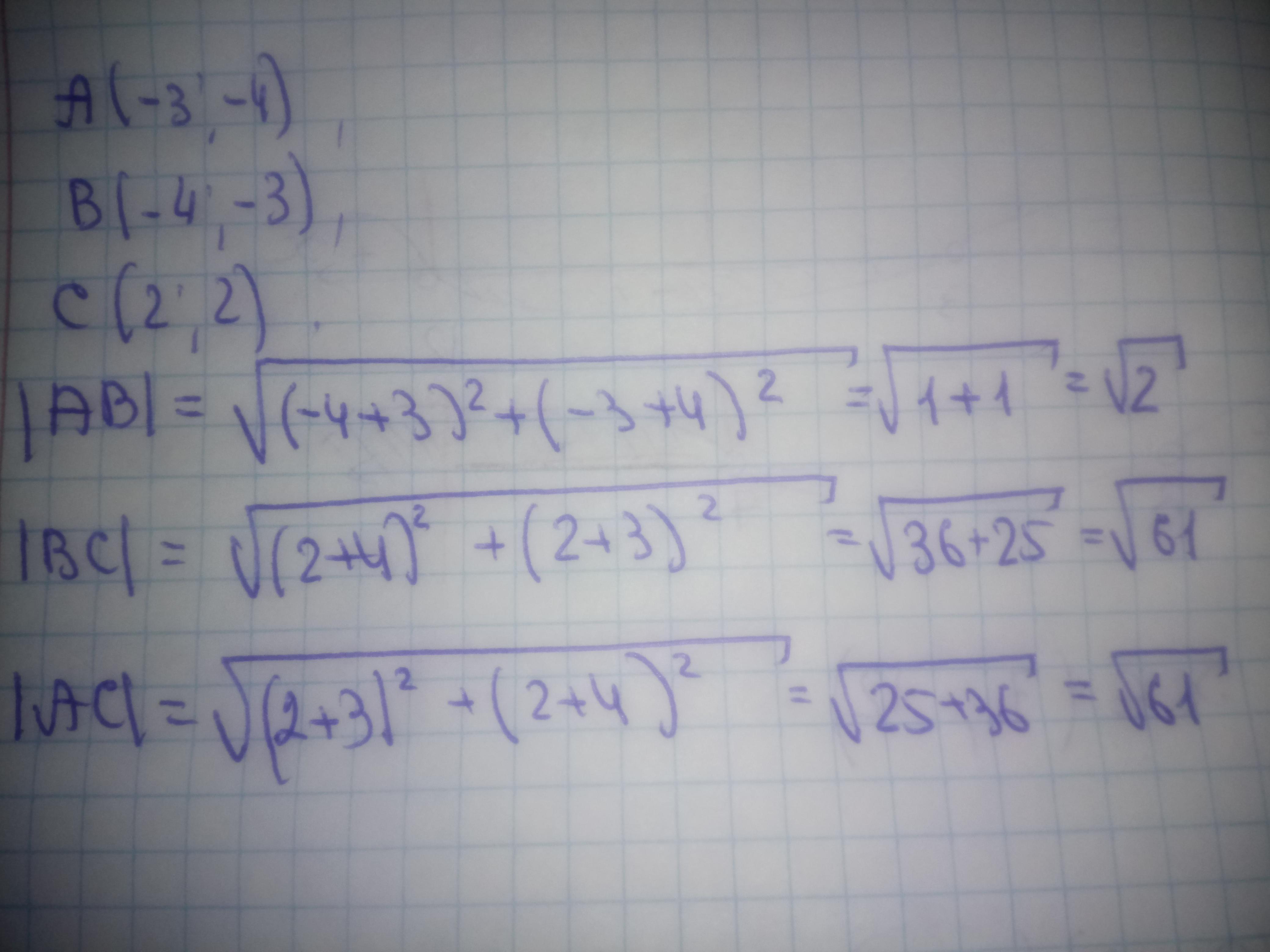
Дано A(-3;-4) B(-4;-3) C(2;2) Найти |AB| |BC| |AC|
Помогите! ​

Ответы

Ответ дал: Аноним
0

Решение задания приложено

Приложения:
Вас заинтересует