Ответы
Ответ дал:
2
Ответ:
Если что-то не понятно, Обратитесь
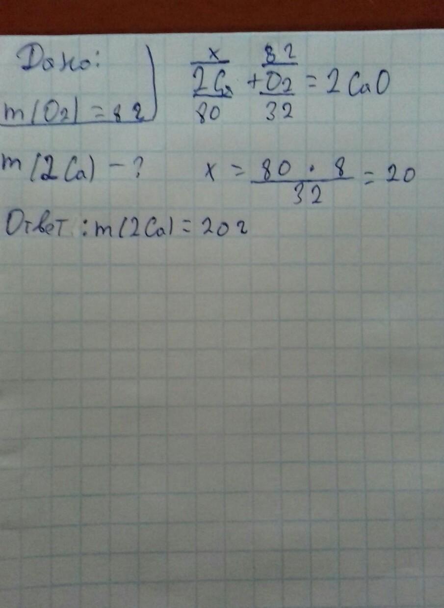
Приложения:

dimanisimov:
Откуда вы взяли 80?
Вас заинтересует
1 год назад
1 год назад
3 года назад
3 года назад
8 лет назад