• Предмет: Математика
  • Автор: PROgrammer5555
  • Вопрос задан 2 года назад

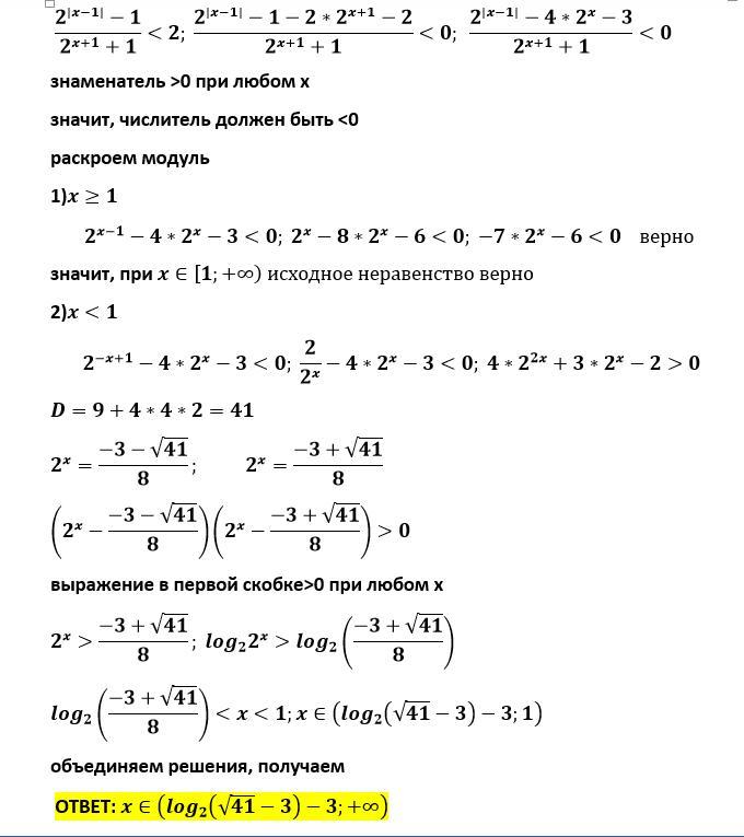
Здравствуйте. Помогите с решением неравенства ЕГЭ. Оно во вложении.

Приложения:

MrSolution: (-беск, -1)U(log2(1+√33)-3, +беск)
PROgrammer5555: А можно подробнее пожалуйста
MrSolution: времени нет свободного :(
PROgrammer5555: А как вы его решили так быстро?

Ответы

Ответ дал: Аноним
0

Ответ:

Пошаговое объяснение:

---------------------------------------

Приложения:
Вас заинтересует