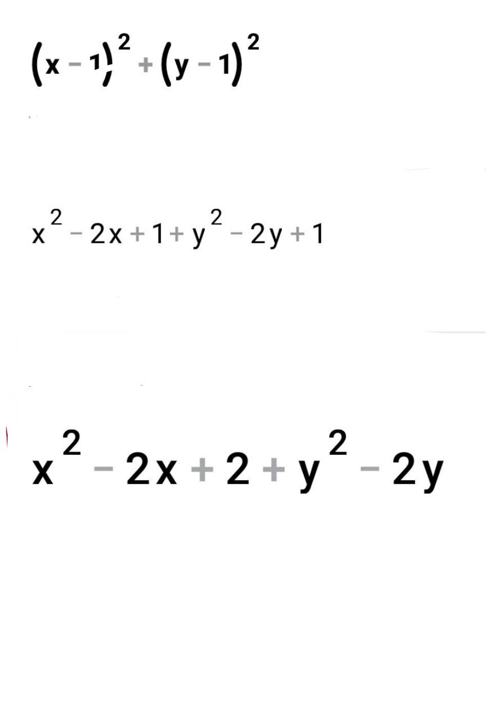
Внутрь квадрата с вершинами (0;0), (1;0),(1;1),(0;1), наудачу бросается точка (х; у). Найти вероятность, что (х-1)^2+(y-1)^2<1
kapribadoo:
1 курс универа
Ответы
Ответ дал:
0
Ответ:
Вроде так.
Пошаговое объяснение:
Если не правильно прости меня:)
Приложения:

Вас заинтересует
1 год назад
1 год назад
1 год назад
1 год назад
3 года назад
3 года назад
8 лет назад