• Предмет: Математика
  • Автор: dilyalime744
  • Вопрос задан 2 года назад

Номер 463 на фото(нажми на скребку и там будет фото) решите плииз

Приложения:

Ответы

Ответ дал: stas0107
0

Ответ:см

Фото

Пошаговое объяснение:

Приложения:
Ответ дал: nainailnas
0

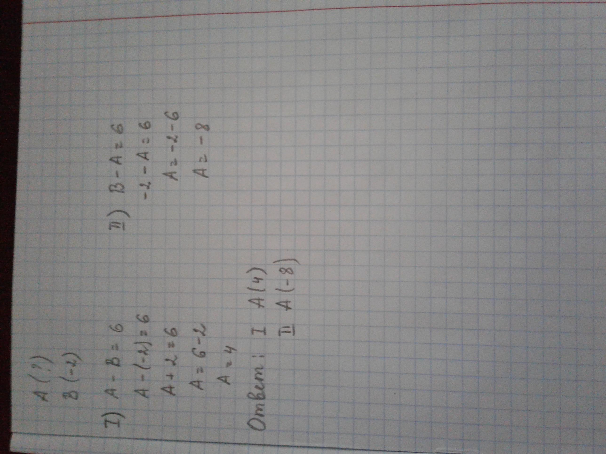
Ответ:

2 решения

1) -8

2)4

Пошаговое объяснение:

Устный вариант:

Так как все точки на координатной прямой находятся в одном ряду, то точка A может находится как слева так и справа от точки B. Соответственно 1-ое решение ( при точке A слева от точки B) :

1)-2-6=-8

Соответственно 2-ое решение ( при точке A справа от точки B) :

2)-2+6=4

Для записи в тетрадь:

1)-2-6=-8 ( при точке A слева от точки B)

2)-2+6=4 ( при точке A справа от точки B)

Вас заинтересует