Помогите пожалуйста
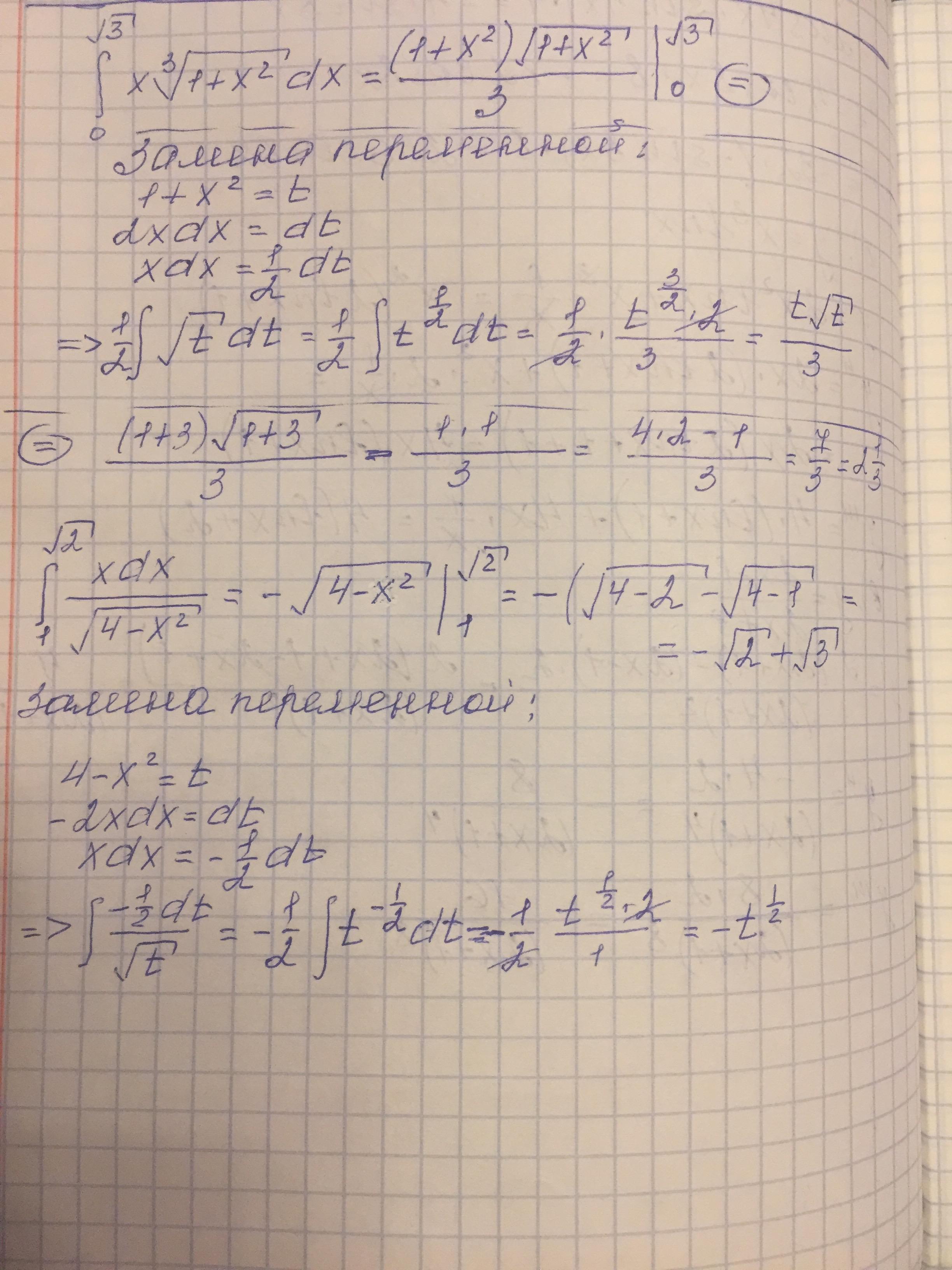
1. Найти определённый интеграл методом непосредственного интегрирования
2. методом замены переменной
3. найти неопределенный интеграл интегрированием по частям
Приложения:

Ответы
Ответ дал:
1
Ответ:
Пошаговое объяснение:
================================
Приложения:


Вас заинтересует
1 год назад
1 год назад
1 год назад
1 год назад
3 года назад
3 года назад
8 лет назад