• Предмет: Алгебра
  • Автор: ВегаЗвезда
  • Вопрос задан 2 года назад

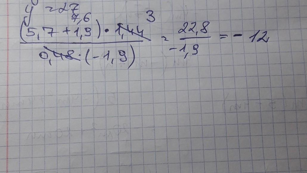
Помогите пожалуйста решить. Сократите дробь:
(5,7 + 1,9) ×1,44 / (-1,9) ×0,48.

Ответы

Ответ дал: suwhwjw
11

Ответ:

-12

Объяснение:

все написано во вложении

Приложения:
Вас заинтересует