ИНТЕГРИРОВАНИЕ ПО ЧАСТЯМ
Нужно решить интеграл по частям. Уже известно u и du, а дальше я просто бессильна. Помогите пожалуйста.
Приложения:

Ответы
Ответ дал:
1
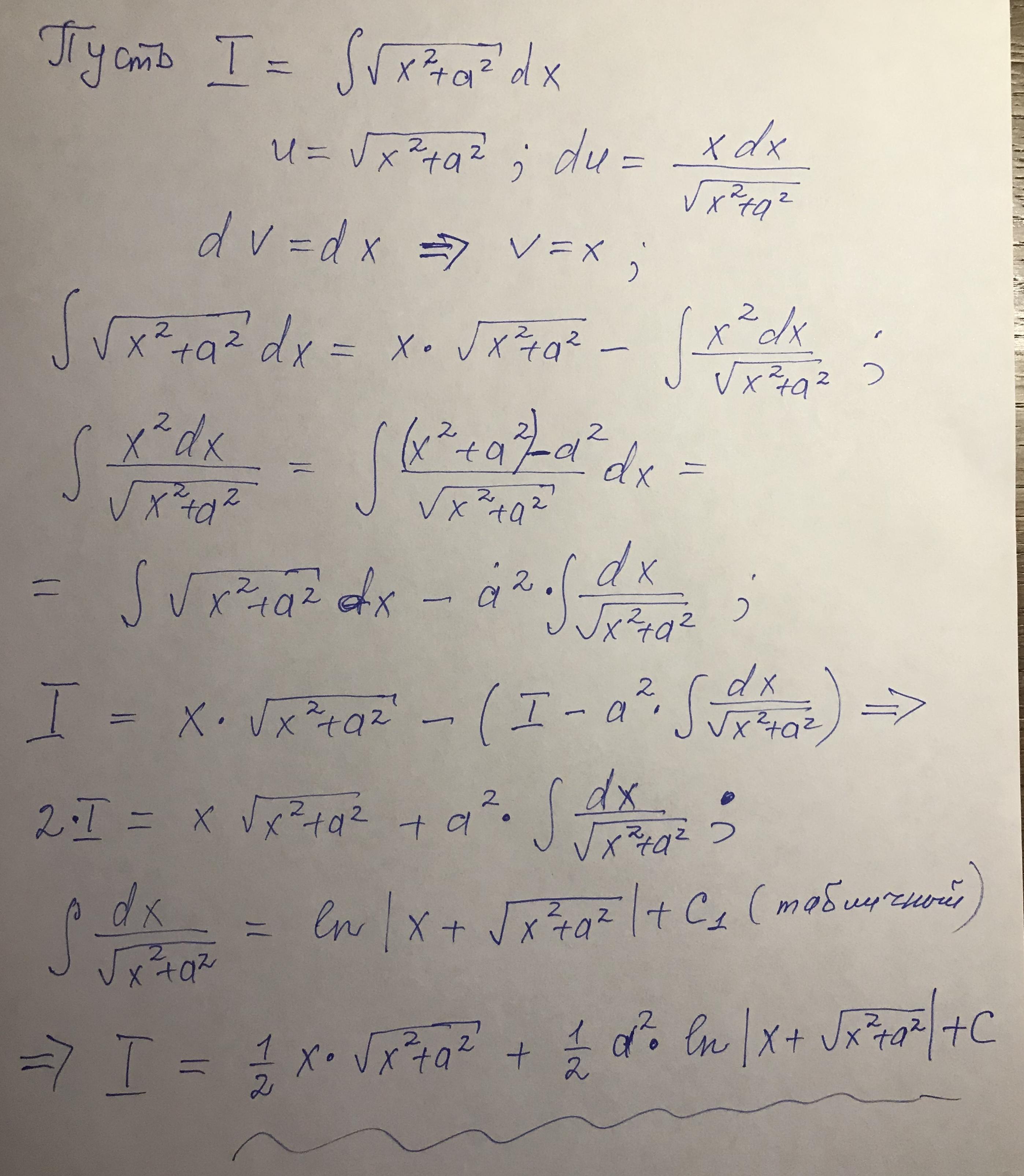
Решение : ////////////////////////////////////////////////
Приложения:

korotkovadianka:
От души спасибо тебе
Вас заинтересует
1 год назад
1 год назад
3 года назад
3 года назад
8 лет назад