• Предмет: Математика
  • Автор: Аноним
  • Вопрос задан 2 года назад

три бригады собрали 996 кг помидоров .Первая бригада собрала в 4 раза больше помидоров ,чем вторая ,а третья на 69 кг больше , чем первая Сколько помидоров собрала третья бригада ? Решите без уравнения плз

Ответы

Ответ дал: lizamalanina2005
1

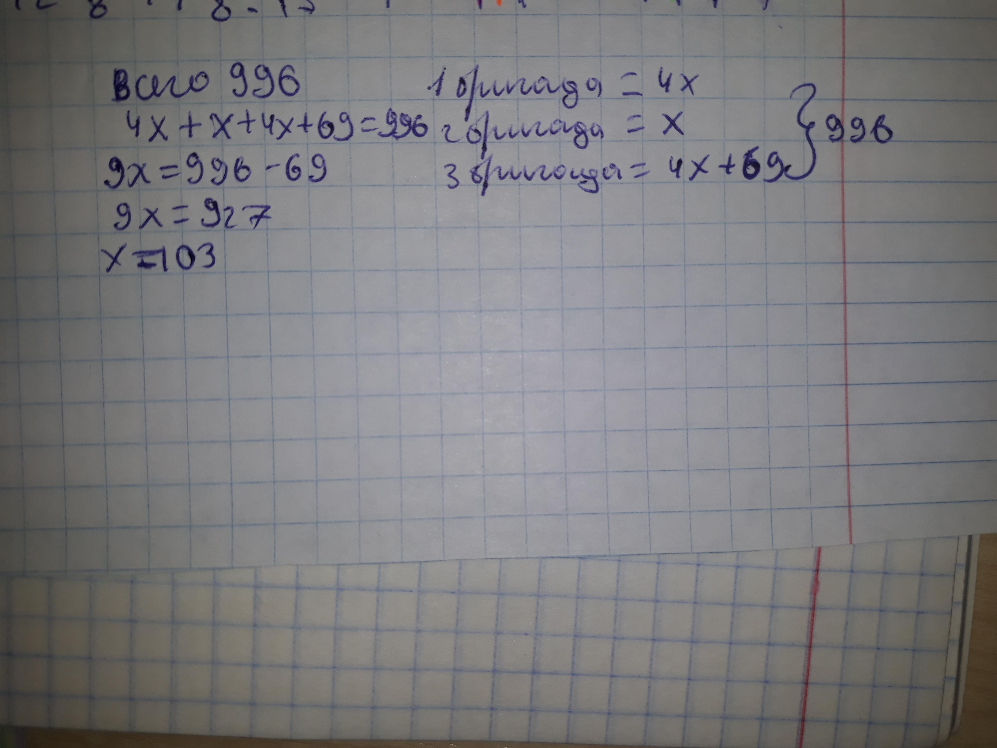
Ответ: 1 бригада= 412кг; 2 бригада= 103 кг; 3 бригада = 481кг

Пошаговое объяснение:тут без уравнения не решить

Приложения:

Аноним: Решите с уравнением пожалуйста
lizamalanina2005: Уже
Ответ дал: IrkaShevko
0

Ответ:

481 кг

Пошаговое объяснение:

1) 996 - 69 = 927 (кг) - собрали бы, если бы третья собрала столько же сколько и первая (т.е. в 4 раза больше второй)

2) 4 + 1 + 4 = 9 (частей) - всего

3) 927 : 9 = 103 (кг) - одна часть - собрала вторая

4) 103 * 4 = 412 (кг) - 4 части - собрала первая

5) 412 + 69 = 481 (кг) - собрала третья

если уравнением:

пусть вторая собрала х кг, тогда первая собрала 4х кг, а третья 4х + 69 кг

по условию:

4х + х + 4х + 69 = 996

9х + 69 = 996

9х = 927

х = 103 (кг)

4х + 69 = 481 (кг) - собрала третья

Вас заинтересует