• Предмет: Химия
  • Автор: tughgnhlk
  • Вопрос задан 2 года назад

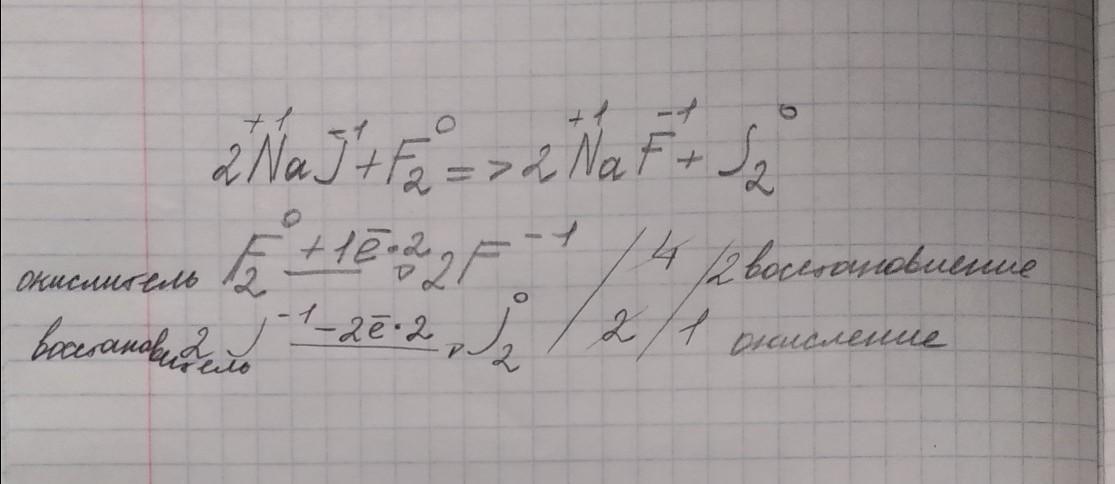
Написать окислительно-восстановительную реакцию: NaJ+F2

Ответы

Ответ дал: Preanosti
1

!!!!!!!!!!!!!!!!!!!!!!!!!!!!!!!

Приложения:
Вас заинтересует