• Предмет: Математика
  • Автор: rostnov7
  • Вопрос задан 2 года назад

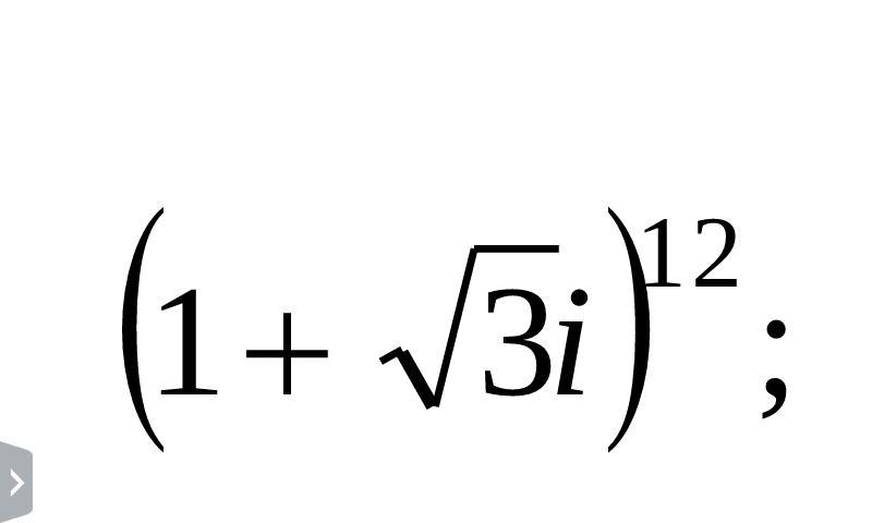
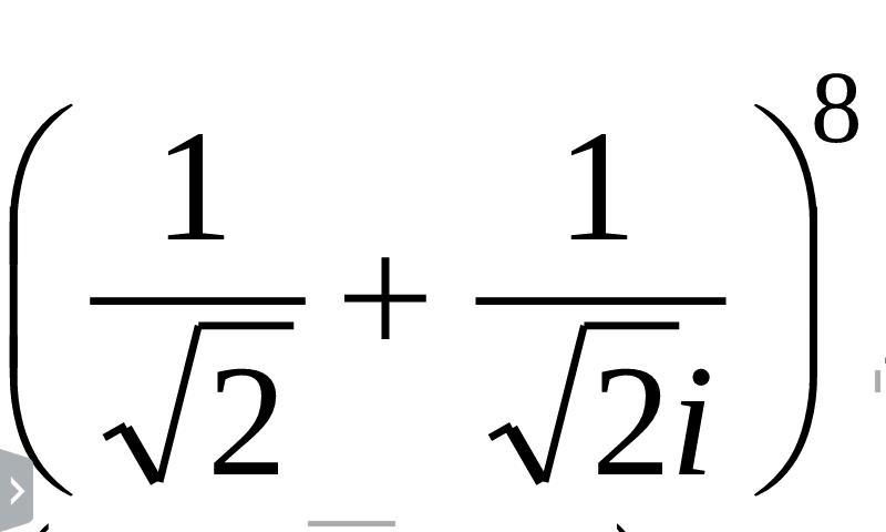
Просто помогите с формулой мавра

Приложения:

Ответы

Ответ дал: DudarSofia
2

Ответ:

(cos x + i sin x) (сверху буква n) =cos(nx) +i sin(nx)

Вас заинтересует