• Предмет: Математика
  • Автор: Smirnova14
  • Вопрос задан 2 года назад

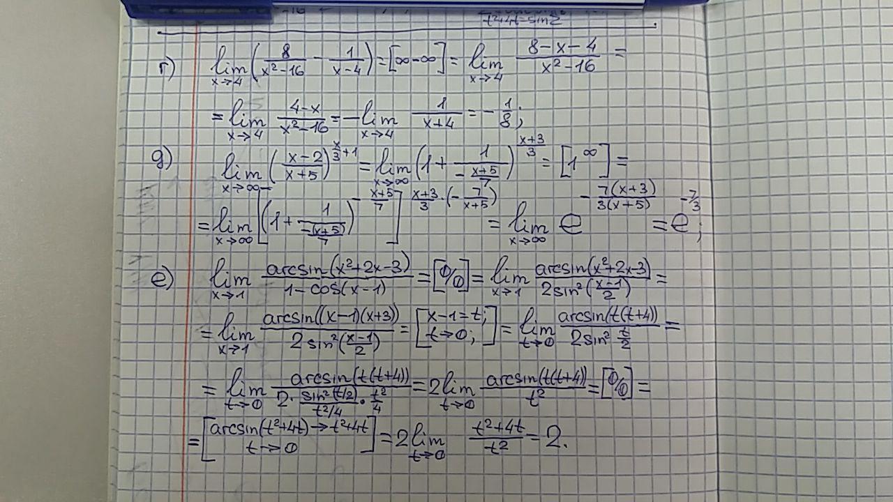
Вычислить границу, высшая математика, пожалуйста помогите!

Приложения:

Ответы

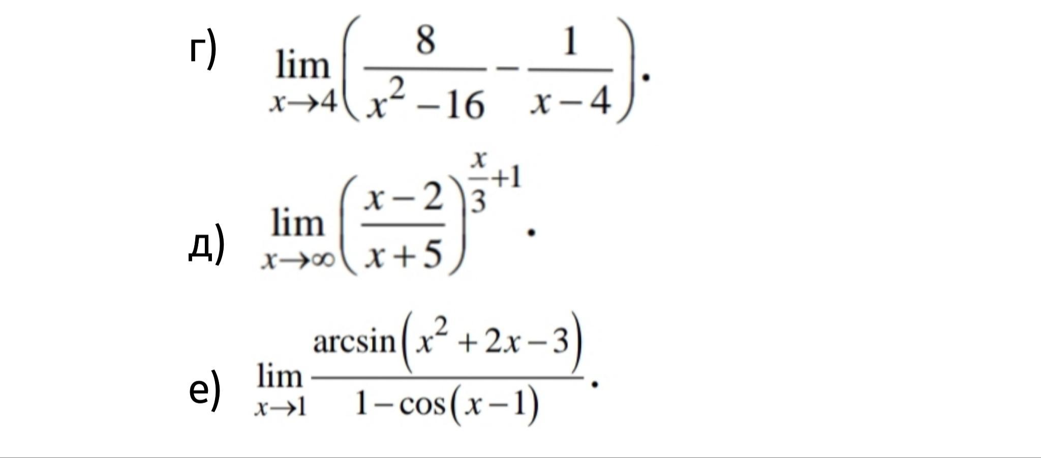
Ответ дал: HSS9860
1

Рассмотрите предложенный вариант, в задании "е" использовалась замечательная эквивалентность.

Приложения:
Вас заинтересует