• Предмет: Математика
  • Автор: slavkaxoxol
  • Вопрос задан 2 года назад

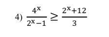
Пожалуйста решите неравенство!

Приложения:

Ответы

Ответ дал: m11m
1

Ответ:

Пошаговое объяснение:

!!!!!!!!!!!!!!!!!!!!!!!!!!!!!!!!!

Приложения:
Вас заинтересует