• Предмет: Алгебра
  • Автор: Adamson111
  • Вопрос задан 2 года назад

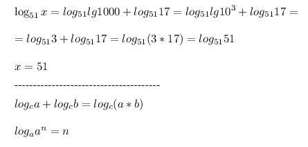
найдите x если log51x=log51lg1000+log5117

Приложения:

Ответы

Ответ дал: Аноним
0

Ответ:

x=51

Объяснение:

-------------------------------------

Приложения:
Вас заинтересует