Ответы
Ответ дал:
0
Решение Вашего задания во вложении.
Приложения:


Ответ дал:
0
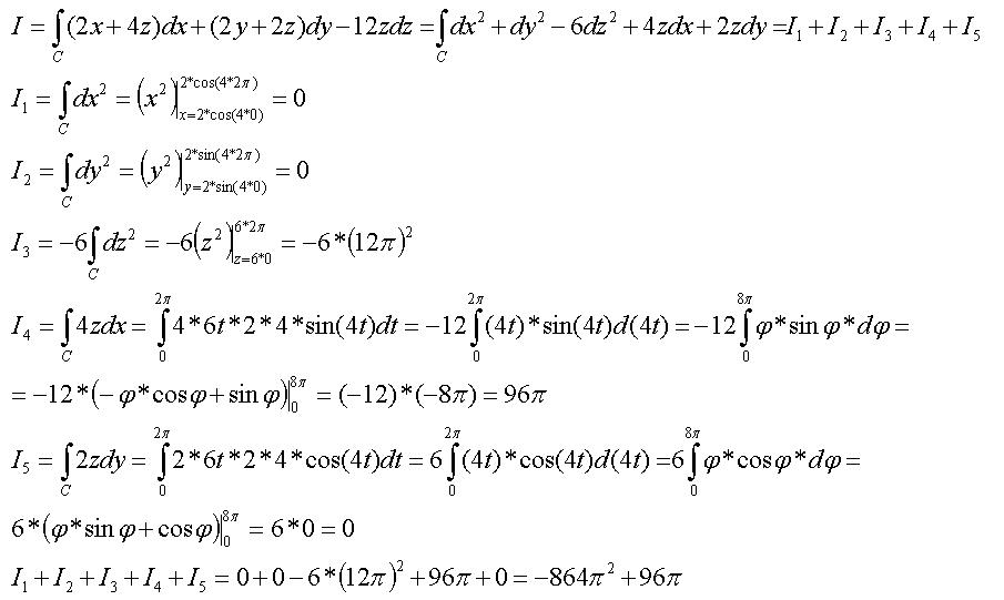
автору вопроса акцентирую внимание, что я не списываю чужих решений
в моем решении применен прием выделения полного дифференциала, что сократило расчеты,
также мною не расписано интегрирование по частям интегралов вида
t*sin(t) dt и t*cos(t)dt
чтобы не повторять то что всем давно известно
получен ответ -864pi^2+98pi
в моем решении применен прием выделения полного дифференциала, что сократило расчеты,
также мною не расписано интегрирование по частям интегралов вида
t*sin(t) dt и t*cos(t)dt
чтобы не повторять то что всем давно известно
получен ответ -864pi^2+98pi
Приложения:

Вас заинтересует
2 года назад
8 лет назад
10 лет назад
10 лет назад
10 лет назад