• Предмет: Алгебра
  • Автор: вкпа
  • Вопрос задан 2 года назад

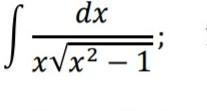
найти интеграл на фото. спасибо!​

Приложения:

Ответы

Ответ дал: natalyabryukhova
0

Ответ:

====================

Объяснение:

Приложения:
Вас заинтересует