• Предмет: Математика
  • Автор: hdhdh9312
  • Вопрос задан 2 года назад

Помогите пожалуйста
Реши уравнение.
С РЕШЕНИЕМ..​

Приложения:

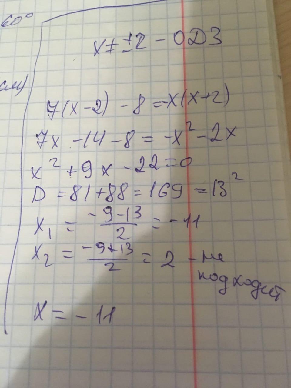
Ответы

Ответ дал: IrkaShevko
0

Ответ:

Пошаговое объяснение:

Приложения:
Вас заинтересует