• Предмет: Математика
  • Автор: 1971991813
  • Вопрос задан 2 года назад

Помогите пожалуйста. СРОЧНО

Приложения:

Ответы

Ответ дал: Elo4kaw
1

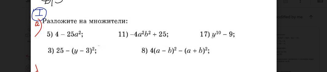
5) 4-25а^2=2^2-(5а)^2=(2+5a)(2 -5a)

3) 25-(у-3)^2=5^2 -(y-3)^2= (5+y-3)(5-y+3)=(2+y)(8-y)

11) -4а^2b^2 +25= 5^2- (2ab)^2= (5+2аb)(5- 2аb)

8)4(а-b)^2 - (a+b)^2= 2^2(а-b)^2 -(a+b)^2=(2(а-b) +a+b))(2(a-b) -(a+b))=(2a- 2b+a+b)(2a-2b-a-b)=(3a -b)(a -3b)

17)у^10-9=( у^5) ^2 - 3^2=(у^5+3)(у^5- 3)

Вас заинтересует