• Предмет: Алгебра
  • Автор: chuprovaalina3
  • Вопрос задан 2 года назад

два комбайна, работая совместно, могут выполнить задание за 6 часов. Первый комбайн, работая один, может выполнить это задание на 5 ч скорее, чем второй комбайн. За сколько времени может выполнить задание первый комбайн, работая один?​

Ответы

Ответ дал: playersdota2
1

Ответ: Первый комбайн выполнит данное задание за 10 часов

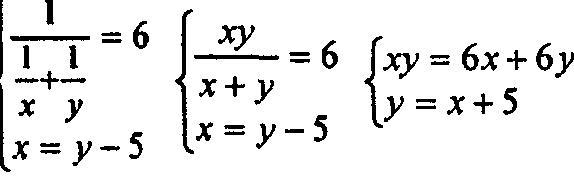
Объяснение: Пусть 1-й комбайн работая один может выполнить задание за х часов, а второй за у, примем объем всей работы за 1

Следуя этому необходимо составить систему, из которой нам необходимо извлечь уравнение,впоследствии к которому мы применяем формулы для нахождения дискриминанта

Приложения:
Вас заинтересует