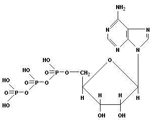
1. На рисунке показана химическая формула молекулы
аминокислоты
нуклеотида ДНК
АТФ
нуклеотида рибонуклеиновой кислоты
2. Эта молекула образуется в процессе
фагоцитоза
синтеза нуклеиновых кислот
окисления органических веществ в митохондриях клетки
синтеза белков на рибосомах
разложения крахмала с образованием глюкозы
3. Эти молекулы выполняют в клетке функцию
Приложения:

Ответы
Ответ дал:
6
1. АТФ
2. Образуется в митохондриях клетки
3. АТФ является источником энергии для в клетке
2. Образуется в митохондриях клетки
3. АТФ является источником энергии для в клетке
Вас заинтересует
1 год назад
1 год назад
3 года назад
8 лет назад