• Предмет: Математика
  • Автор: trushkrill
  • Вопрос задан 2 года назад

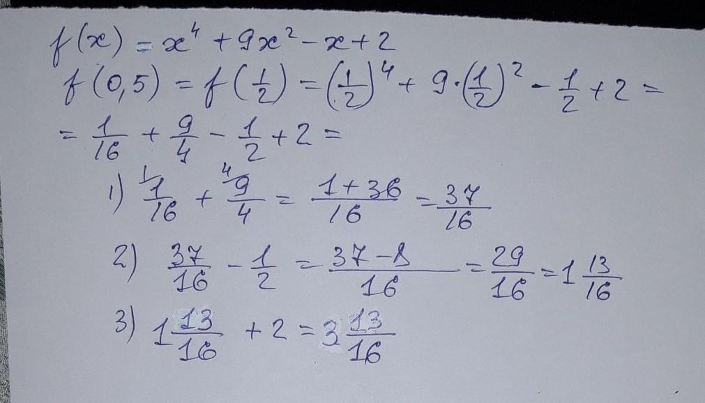
Найдите f(0,5),если f(x)=-x^4+9x^2-x+2

Ответы

Ответ дал: sharofat0
0

Ответ:

выражения со степенью

Приложения:
Вас заинтересует