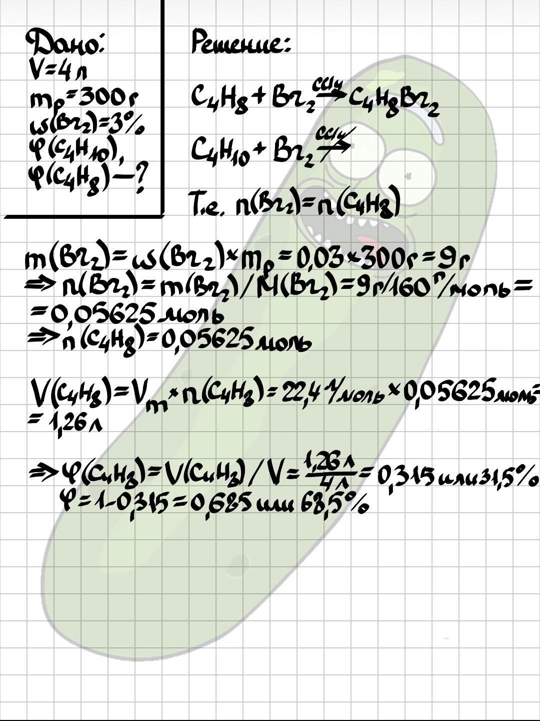
Смесь бутана и бутена объёмом 4 л (н. у.) обесцветила 300 г раствора бромной воды с массовой долей Br2 3%. Определите объёмную долю (в %) каждого газа в смеси.
Ответы
Ответ дал:
2
Будут вопросы, пишите
Приложения:

semnadtsatyy:
Спасибо!
Вас заинтересует
1 год назад
1 год назад
3 года назад