• Предмет: Алгебра
  • Автор: Daniil5502
  • Вопрос задан 2 года назад

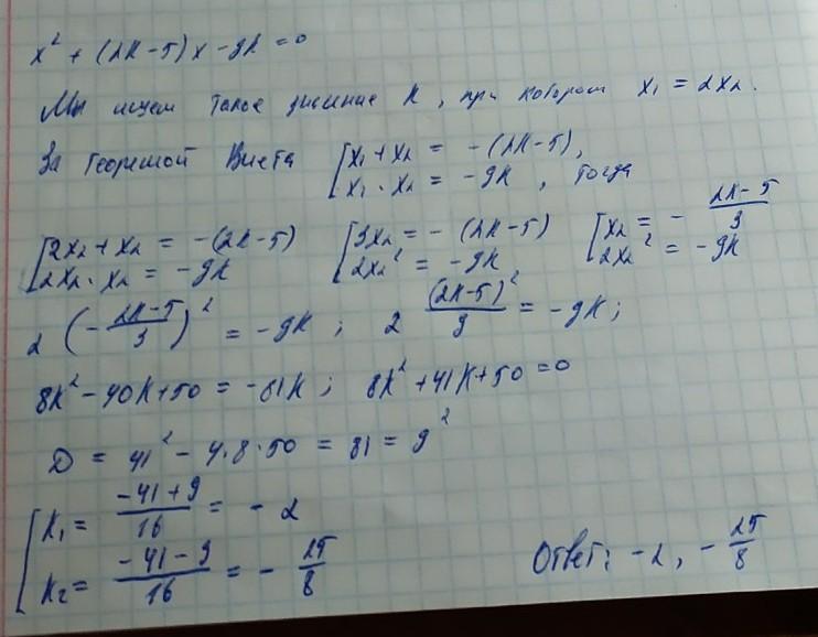
При каком значении параметра k один из корней уравнения x2+(2k−5)x−9k=0 вдвое больше другого? ОЧЕНЬ СРОЧНО !!!


Simba2017: т виета
Simba2017: x-первый, 2х-второй
Simba2017: x*2x=-9k
Simba2017: x+2x=5-2k
Simba2017: система

Ответы

Ответ дал: QDominus
0

Решение приложено...

Приложения:

Daniil5502: Выберите один ответ:
a. 2.33
b. 3.5
c. 2.34
d. 0.5
e. 4.5
f. 2
Daniil5502: подскажите пожалуйста
QDominus: к чему это ответы?
Daniil5502: это варианты ответа значения параметра к при котором один из корней уравнения больше другого в два раза
QDominus: Тут нет правильного, так как при постановке каждого из них условие не выполняется
QDominus: короче единственные корни – на моем решении
LFP: вопрос задачи "при каком k", а не "найти корни"...
Вас заинтересует