• Предмет: Алгебра
  • Автор: 550170185
  • Вопрос задан 2 года назад

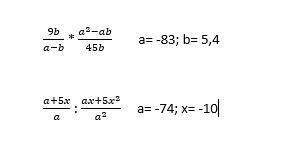
Срочно, примеры в фото

Приложения:

Ответы

Ответ дал: evgeniya1309
0

Объяснение:

надеюсь понятно написала

Приложения:
Вас заинтересует