• Предмет: Математика
  • Автор: maksimmahor
  • Вопрос задан 2 года назад

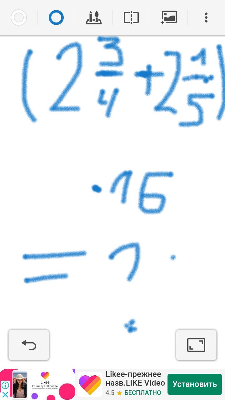
Решите: Алгебра 9 класс
1) действия в скобках (сложение) ,2) нужно умножить на 16
Пример в фоте

Приложения:

Ответы

Ответ дал: arqus
1

Ответ:

79 \frac{1}{5}

Пошаговое объяснение:

Решение на рисунке

Приложения:
Вас заинтересует