• Предмет: Алгебра
  • Автор: kolesovavarvara53
  • Вопрос задан 2 года назад

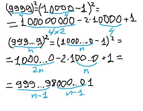
Попробуйте угадать закономерность
9...9 в квадрате. Всего n девяток

Ответы

Ответ дал: solving05
0

Ответ:

Объяснение:

Решение в приложении

Приложения:
Вас заинтересует