• Предмет: Алгебра
  • Автор: Karinarutz
  • Вопрос задан 2 года назад

Помогите решить !!!!!!

Приложения:

alesyaperova: что решить надо

Ответы

Ответ дал: CTOOTO
0

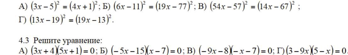
4.2)

a^2 = b^2

В таком случае два варианта:

a = b или a = -b *можно доказать через модуль

А) 1) 3x - 5 = 4x + 1

-5 - 1 = 4x - 3x

-6 = x

x = -6

2) 3x - 5 = -(4x + 1)

3x - 5 = -4x - 1

3x + 4x = -1 + 5

7x = 4

x = 4/7

Б) 1) 6x - 11 = 19x - 77

-11 + 77 = 19x - 6x

66 = 13x

x = 66/13

2) 6x - 11 = -(19x - 77)

6x - 11 = -19x + 77

6x + 19x = 77 - 11

25x = 66

x = 2,64

В) 1) 54x - 57 = 14x - 67

54x - 14x = -67 + 57

40x = -10

x = -4

2) 54x - 57 = -(14x - 67)

54x - 57 = -14x + 67

54x + 14x = 67 + 57

68x = 124

x = 31/17

Г) 1) 13x - 19 = 19x - 13

-19 + 13 = 19x + 13x

-6 = 32x

x = -0.1875

2) 13x - 19 = -(19x - 13)

13x - 19 = -19x + 13

13x + 19x = 13 + 19

30x = 32

x = 16/15

4.3) Произведение равно нулю в том случае, если один из множителей равен нулю

ab = 0

a = 0 | b = 0

А) 3x + 4 = 0

3x = -4

x = -4/3

5x + 1 = 0

5x = -1

x = -0,2

Б) -5x - 15 = 0

-5x = 15

x = -3

x - 7 = 0

x = 7

В) -9x - 8 = 0

-9x = 8

x = -8/9

-x - 7 = 0

x = -7

Г) 3 - 9x = 0

9x = 3

x = 3

x - 5 = 0

x = 5

Вас заинтересует