• Предмет: Алгебра
  • Автор: bogdanka336
  • Вопрос задан 2 года назад

Составте квадратные уравнения с корнями​ помогите

Приложения:

Ответы

Ответ дал: NNNLLL54
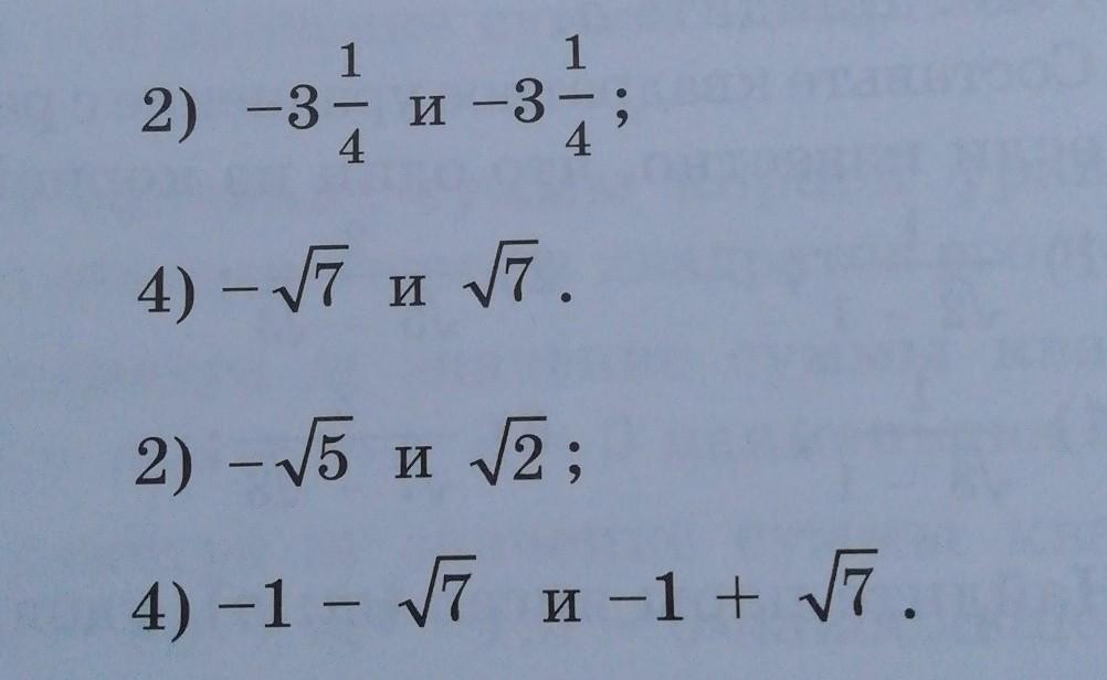
2

\boxed {\; x^2+px+q=(x-x_1)(x-x_2)\; }\\\\\\2)\; \; x_1=x_2=-3\frac{1}{4}=-\frac{13}{4}\\\\(x+\frac{13}{4})^2=x^2+\frac{13}{2}\, x+\frac{169}{4}=0\\\\4x^2+26x+169=0

4)\; \; x_1=-\sqrt7\; ,\; x_2=\sqrt7\\\\(x-\sqrt7)(x+\sqrt7)=x^2-7\\\\x^2-7=0\\\\\\2)\; \; x_1=-\sqrt5\; ,\; \; x_2=\sqrt2\\\\(x+\sqrt5)(x-\sqrt2)=x^2-x\sqrt2+x\sqrt5-\sqrt{10}\\\\x^2+(\sqrt5-\sqrt2)\, x-\sqrt{10}=0

4)\; \; x_1=-1-\sqrt7\; \; ,\; \; x_2=-1+\sqrt7\\\\\Big (x-(-1-\sqrt7)\Big )\Big (x-(-1+\sqrt7)\Big )=0\\\\\Big (x+(1+\sqrt7)\Big )\Big (x+(1-\sqrt7)\Big )=0\\\\x^2+(1-\sqrt7)x+(1+\sqrt7)x+(1+\sqrt7)(1-\sqrt7)=0\\\\x^2+(1-\sqrt7+1+\sqrt7)\, x+(1-7)=0\\\\x^2+2x-6=0

Вас заинтересует