• Предмет: Алгебра
  • Автор: sablaangelina00
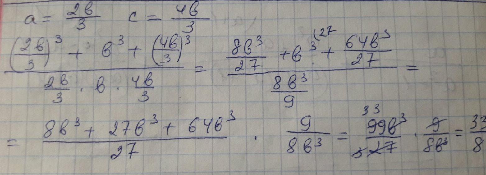
  • Вопрос задан 2 года назад

помогите пожалуйста ​

Приложения:

Ответы

Ответ дал: PVJ
0

Відповідь:

а) 33/8

Пояснення:

Приложения:
Вас заинтересует