Найдите значения действительных параметров a,b, если известно, что существует двучлен P(X) такой, что:
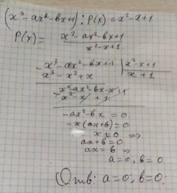
(Х³-aX²-bX+1):P(X)=X²-X+1
Ответы
Ответ дал:
0
Ответ: a=0; b=0;
Объяснение:
Приложения:

Вас заинтересует
1 год назад
1 год назад
1 год назад
3 года назад
3 года назад
8 лет назад