• Предмет: Математика
  • Автор: 9055272702s
  • Вопрос задан 2 года назад

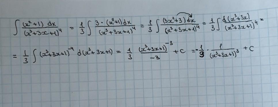
НЕОПРЕДЕЛЕННЫЙ ИНТЕГРАЛ. Очень нужна помощь, отдаю максимум баллов и свою душу в доплату.


\frac{x^{2}+1 }{(x^{3}+3x+1)^{4} }

Ответы

Ответ дал: Miroslava227
1

Ответ:

решение на фотографии

Приложения:
Вас заинтересует