• Предмет: Математика
  • Автор: Аноним
  • Вопрос задан 2 года назад

помогите пожалуйста с номером 5 и 7
даю 15 баллов​

Приложения:

Ответы

Ответ дал: p875524
1

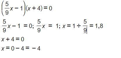
Ответ:

5) Первый х = 1,8

   Второй х = -4

7) 13/26 = 1/2 = 0,5

   

Приложения:
Вас заинтересует