Ответы
Ответ дал:
1
Ответ:
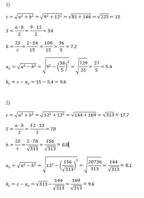
1) с=15, h=7.2, ac=5.4, bc=9.6
2) c=17.7, h=8.8, ac=8.1, bc=9.6
Объяснение:
https://ru-static.z-dn.net/files/d5c/33b5e8d4e6eddc2c1628cf861866ddc5.jpg
Приложения:

Вас заинтересует
1 год назад
1 год назад
3 года назад