• Предмет: Алгебра
  • Автор: arsenagsaruanaga
  • Вопрос задан 2 года назад

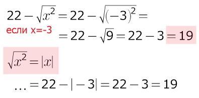
Вычисли значение выражения 22−корень x в квадрате, если x=-3

Ответы

Ответ дал: LFP
0

Ответ: 19.

формула: √(х²) = |x|

Приложения:
Вас заинтересует