Ответы
Ответ дал:
3
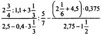
Решение :___________—
Приложения:

MilahaNyaha:
Спасибо
Вас заинтересует
1 год назад
1 год назад
1 год назад
3 года назад
3 года назад
8 лет назад