• Предмет: Алгебра
  • Автор: rimmabondar84
  • Вопрос задан 2 года назад

Помогите пожалуйста математика 11 класс

Приложения:

Ответы

Ответ дал: manyny06
1

Ответ:

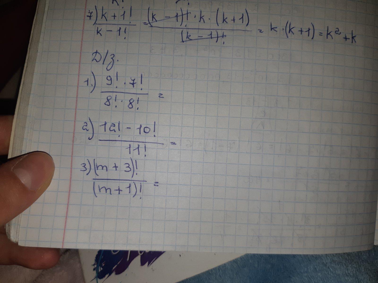
решение смотри на фотографии

Объяснение:

Приложения:
Вас заинтересует