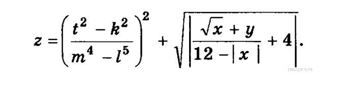
Напишите программу вычисления значения выражения в Паскаль:
Приложения:
                    
                            
                    BobbyFresnel:
                    Формулу какой-то болван писал. Если x < 0, вычисление умрет на корне из него, а если нет, то зачем вычислять модуль х?
                
            Ответы
                                            Ответ дал: 
                                                                                    
                                        
                                            
                                                
                                                
                                                
                                                    2
                                                
                                            
                                        
                                    ===== PascalABC.NET =====
begin
var t, k, m, l, x, y, n: double;
Read(t, k, m, l, x, y, n);
var z := Sqr((t * t - k * k) / (Sqr(Sqr(m)) - l * Sqr(Sqr(l)))) +
Sqrt(Abs((Sqrt(x) + y) / (n - Abs(x)) + 4));
Println(z)
end.
Вас заинтересует
                
                        1 год назад
                    
                
                        1 год назад
                    
                
                        1 год назад
                    
                
                        3 года назад